Click here for
Einstein's E = mc2 derivable from the Heisenberg brackets.


Heisenberg talks about Einstein.

  • Werner Heisenberg was born in 1901 and died in 1976. He was four years old when Einstein formulated special relativity in 1905. Ten years later, when he was in high school, Heisenberg became interested in Einstein's theory and started his physics career out of his respect for Einstein. However, these two great physicists did not like each other. What went wrong? The basic point is well known. Einstein never accepted Heisenberg's uncertainty principle as a fundamental physical law.

    It would be interesting to see what Heisenberg says about Einstein in his book entitled Encounters with Einstein. This book has a chapter entitled "Encounters and Conversations with Albert Einstein" covering 17 pages. It would be very nice if you could read this chapter from this webpage, but I was not able to get permission to put it on my website from Princeton University Press who published the latest edition of this book. They said their policy is not to allow any of the contents of their books to be placed on internet pages.

    This book has an interesting history. It was copyrighted by Werner Heisenberg in 1983, presumably by the Heisenberg estate. It was originally published by Seabury Press (San Francisco) in 1983 as "Tradition in Science," and is reprinted by Princeton University Press in the Princeton Science Library Edition by arrangement with Harper and Row in 1989. This book contains nine articles written in English by Heisenberg. While I am not allowed to place on my webpage his article on Einstein, I do have the liberty of writing a review of the article summarizing the contents of what he says there, with my own opinions.

        Heisenberg with Bohr (1934).

        Click here for Bohr and Einstein.


  • Heisenberg liked mathematics and became interested in special relativity when he was very young. The mathematics of Lorentz transformations was easy for him to understand, but the physical concept of simultaneity was very difficult for him to grasp. I suspect that this was his communication gap he had with Einstein, as I will explain later in this article. When he was in college in Munich, he learned about Einstein and his theories from Arnold Sommerfeld who was a great teacher to him. Sommerfeld also recognized Heisenberg's potential and encouraged him to meet Einstein personally. The first step toward this process was to attend Einstein's lectures.

  • In addition, Heisenberg became quite interested in atomic physics which was Sommerfeld's main subject. He was interested in the question of why classical theories fail to explain atomic phenomena, and how the concept of light quanta, formulated by Einstein, could explain those "anomalies." As is well known, Heisenberg's concentrated effort to resolve those puzzles led him to formulate his uncertainty principle in 1927. In the same book (which contains his article about Einstein), he has chapters entitled "Development of Concepts in the History of Quantum Mechanics," and "The Beginnings of Quantum Mechanics in Goettingen." Quite understandably, they constitute the first and second chapters of his book.

    In the summer of 1922, the Society of German Scientists and Physicists had a meeting in Leipzig, and Einstein was scheduled to give a lecture. Sommerfeld encouraged Heisenberg to attend Einstein's talk. When he went there, a young man gave him a red leaflet saying that the theory of relativity is a totally unproved Jewish speculation, and that it had been undeservedly amplified by through Jewish newspapers on behalf Einstein, a fellow-member of their race. Heisenberg noted there that those leaflets were being handed out by the students of Germany's most respected experimental physicist at that time. Heisenberg did not mention his name, but it is not difficult who that most respected experimentalist was. Instead of Einstein, von Laue gave his lecture. Heisenberg's first attempt to meet Einstein failed in this way.

      Schrödinger and Heisenberg in 1933. The king of Sweden is in the middle. You should know what the occasion was.
    In early 1926, Heisenberg was invited to give a colloquium on his quantum mechanics by the physicists in Berlin. At that time, Berlin was the citadel of physics. The audience included Planck, von Laue, Nernst, and Einstein. Einstein was quite interested in Heisenberg's talk, and invited Heisenberg to come to his house. This was his first meeting with Einstein. However, Einstein was not happy with Heisenberg's interpretation of his new mechanics. Einstein's position was that every theory in fact contains unobservable quantities. The principle of employing only observable quantities simply cannot be consistently carried out.

  • In the spring of 1927, Heisenberg succeeded in formulating his uncertainty relation, emboldened by the wave mechanics formulated by Erwin Schroedinger in 1926 where electrons are regarded as waves. In the autumn of 1927, Heisenberg met Einstein again at the Solvay Congress in Brussels. There Einstein came up with one counter-example to the uncertainty principle each morning, but, by the dinner time, Heisenberg together with Bohr and Pauli were able to prove that Einstein's example was consistent with the uncertainty principle.

    Three years later in 1930, Heisenberg met Einstein again at another Solvay Congress in Brussels. There, Bohr did his best to convince Einstein that the uncertainty relations is a fundamental law in physics. Einstein still refused, and they agreed to disagree. It was his last time to see Einstein in Europe. By 1933, the political environment became much worse in Germany, and Einstein moved to the United States. He lived and worked in Princeton where he gave his earlier lecture in 1921.

      Einstein's house in Princeton
      and his girl friend.

  • In 1954, Heisenberg visited Einstein's house in Princeton. Heisenberg was warned by Einstein's assistant not to stay with him more than one hour because of his poor health. Yet, Heisenberg recollects that Einstein was kind enough to spend almost whole afternoon with him. They talked only about physics, but Einstein's position on uncertainty relation remained unchanged. Again, Heisenberg failed to get Einstein's endorsement of his principle as a fundamental physical law. Einstein died in 1955, and Heisenberg died in 1976. According to Johanna Fantova, Einstein was not happy with Heisenberg.

  • I would like to encourage you to read Heisenberg's article directly from his book, instead of relying on my comments. Yet, I do have the following comments.

    1. Einstein, Podolsky, and Rosen published their paper in 1935. Heisenberg did not mention this EPR paper in his article.

    2. Heisenberg pointed out that Einstein once declared himself as a pacifist. He then said, in view of his support for the development of nuclear weapons in the United States, Einstein is not an absolute pacifist, but a pacifist with some adjective. Here, Heisenberg forgot to mention whether Hitler's Nazi set-up was an absolute evil or an evil with a different adjective.

    3. In his article, Heisenberg says the concept of Einstein's simultaneity was very difficult to digest. That is right, the simultaneity (or simultaneous measurements) plays a pivotal role in interpreting the uncertainty relations. Yet, Heisenberg's interpretation of his uncertainty does not take into account the Lorentz covariance dictated by special relativity. If Heisenberg had studied this covariance question in interpreting his uncertainty principle, he could have drawn more interest from Einstein.

    4. Click here for a story Einstein wanted to hear from Heisenberg.



Einstein-Heisenberg Gap: Space-time Entanglement

    In his article, Heisenberg said he understood the mathematics of Lorentz transformations, but could not comprehend Einstein's simultaneity or time separation.



In 2005, I constructed the webpage entitled

Since then, this webpage has been the most popular page among the many webpages (nearly 1000) I maintain. In this 2005 page, I review an article Heisenberg wrote about Einstein. I point out there that Heisenberg had a great respect for Einstein, but he expresses his frustration over Einstein's refusal to accept his interpretation of quantum mechanics.

  • These days, there is a tendency to exaggerate the difference between these two great physicists. Many people say that Einstein was totally against quantum mechanics. This cannot be true. Einstein's photo-electric effect was one of the first manifestations of the wave-particle duality. Then where was the gap between Einstein and Heisenberg.

  • Heisenberg, while talking about Einstein, said he did not have difficulties in understanding the mathematics of Lorentz transformations, but he could not comprehend Einstein's concept of simultaneity.

    Let us consider the distance between the proton and electron in the hydrogen atom. This is a space-like separation when they are observed simultaneously. This is called the Bohr radius, one of the most important quantities in quantum mechanics. When the atom moves, the space-like separation picks up a time-like separation.

    Was Heisenberg alone having this difficulty? The answer is NO. Einstein and Bohr met frequently before and after 1927, to talk about physics, presumably about relativity and quantum mechanics. However, there is one important aspect they did not discuss. Click here for what they did not discuss. This is the question of simultaneity Heisenberg was talking about.

    Even these days, this time-separation variable is the most difficult item for me to talk about at conferences. The Physical Review used to reject my papers whenever I explicitly mentioned this variable, insisting that it does not exist in quantum mechanics.

Mr. and Mrs. Wigner at their house in Princeton (1991).

  • Since 1990, I have been talking about this time-separation variable in terms of Feynman's rest of the universe. I was fortunate enough to publish my paper with Eugene Wigner on this subject in 1990. Wigner was aware of this time-separation variable as well the c-number time-energy relation introduced by Dirac in 1927.

    1. Click here for the paper.

    2. Click here for a webpaged version of this paper. Easy to follow.

    I now choose to translate this paper into the language of entanglement, and examine further consensuses.

Space-time Entanglements

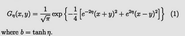
  • Let us start with the series

    This series appears very frequently in the literature these days. It is for the Gaussian entanglement of the x and y variables.

    Did you know this entanglement series can be written in the following Gaussian form?

    Click here to see how the entanglement series can be derived from the Gaussian form of Eq.(1).

  • If the x and y variables are replaced by the space-time variables z and t respectively, this Gaussian form becomes

  • The entangled Gaussian form of Eq.(2) can now be written as

    This matrix is clearly the formula for the Lorentz boost along the z direction. This means that the Lorentz boost entangles the space and time coordinates. If we Lorentz-boost the Gaussian form of Eq.(3), it becomes the entangled state of Eq.(2).

      Both Yukwa and Dirac attempted to construct Lorentz-covariant quantum mechanics using harmonic oscillators, but they did not have enough experimental data to rely on. Click here for a story.


    The history of Eq.(4) can traced to Yukawa's 1953 paper on harmonic oscillators for internal space-time structure of elementary particles.

    In his paper, Yukawa clearly said z and t are the space and time separation respectively, but he could not say what the constituent particles are. The quarks were unknown in 1953.

  • The time-separation is in Feynman's rest of the universe, and this problem can be studied in terms of von Neumann's entropy.

    Click here for a detailed story. You have seen this page before.

  • Let us look at another consequence of the space-time entanglement. The harmonic oscillator is applicable to high-energy hadronic physics. Its mass spectra are like the degeneracy of the three-dimensional oscillator, and the ground state oscillator wave function can be used for a reasonable approximation for the proton. In the three-quark bound sate for the proton, there are two independent oscillator modes.

    We can express the entangled Gaussian form of Eq.(2) for the Lorentz-boosted proton using squeezed circles, and construct the following figure.

    Gell-Mann's quark model and Feynman's parton model tell different stories of the proton. The entanglement diagram shown above tells the quark model and parton model are two different manifestations of one Lorentz-covariant entity. Click here for a more detailed story.

    It is gratifying to note that the entanglement series becomes a squeezed Gaussian function which then leads to the language of squeezed circles.

  • The word "entanglement" is highly contagious these days. If you are infected, you are OK. You are now entangled with Einstein.

  • In 2019, with my younger colleagues, I published the following papers telling that Einstein's E = mc2 can be derived from the Heisenberg brackets.

    1. Einstein's E = mc2 derivable from Heisenberg's Uncertainty Relations, with Sibel Baskal and Marilyn Noz,
      Quantum Reports [1] (2), 236 - 251 (2019),
      doi:10.3390/quantum1020021.
      ArXiv. For pdf with sharper images, click here.

    2. Poincaré Symmetry from Heisenberg's Uncertainty Relations,
      with S. Baskal and M. E. Noz,
      Symmetry [11](3), 236 - 267 (2019),
      doi:10.3390/sym11030409.
      ArXiv .


Heisenberg's Gift to Einstein

Among the webpages I built on the history of physics, the page entitled

is most frequently visited. Since this page is so popular, you are invited to visit this page again. For the same reason, I keep adding new stories about Heisenberg's meeting with Einstein.

      Einstein's house in Princeton.

  • In 1954, Heisenberg went to Princeton to talk with Einstein, and the meeting lasted longer than scheduled, according to Heisenberg. However, it was not a successful meeting. After the meeting, Einstein expressed his displeasure to his personal friend named "Johanna Fantova." Click here for the story.

  • Why did Heisenberg fail to make Einstein happy? The answer is very simple. He was not able to tell a story Einstein wanted to hear. Heisenberg was aware that Einstein did not like his interpretation of the Poisson brackets. However, he could have made Einstein happy by telling him the Poisson brackets lead to Einstein's relativity. He could not tell this because he was not aware of this in 1954.

      How did this young man become so close to Wigner? He told the stories Wigner wanted to hear.

  • In 1987, I surprised many people by publishing a paper with Eugene Wigner. Wigner was known as one of the most difficult persons to approach, and he was totally isolated from his colleagues at Princeton's physics department.

    However, I was able to tell him the story he wanted to hear. The story goes like this.

    1. Einstein got his Nobel prize in 1921, but not for his mc2.

    2. Wigner got his prize in 1963, but not for his 1939 paper on internal space-time symmetries

    3. It is generally agreed that Einstein deserved one full Nobel for his mc2. Likewise, Wigner deserved one full prize for his 1939 paper, and I showed him the following table.

    Contents of Einstein's E = mc2


    Particle Massive/Slow between Massless/Fast
    Einstein Energy
    Momentum
    E = p2/2m E =
    [m2c4 + (cp)2]1/2
    E = cp
    Wigner Helicity
    spin, Gauge
    S3
    S1 S2
    Wigner's
    Little Groups
    Helicity
    Gauge Trans.
    This table is from one of my papers published in 1986.

  • Let us go back to the Heisenberg issue. Heisenberg could have made Einstein by telling his E = m2 is a consequence of the symmetries derivable from his uncertainty commutation relations. He did not know this in 1954, but he could have said this based on a paper I published in 2019, with Sibel Baskal and Marilyn Noz.

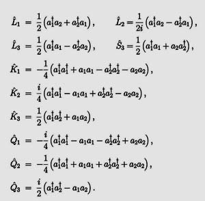
  • Here comes the key question. Did you know the Poisson brackets lead to the Lorentz group? Don't worry. I am not the first person who observed this. It was Paul A. M. Dirac who used two harmonic oscillators to derive the group of Lorentz transformations. Dirac in fact derived two coupled Lorentz groups or O(3,2) group starting from two oscillators.

      Both Dirac and Heisenberg were interested in the Poisson brackets. Einstein did not like Heisenberg's interpretation of those brackets. On the other hand, Dirac was interested in extending those brackets to Einstein's Lorentz-covariant world.

      It is not clear whether they knew the Poisson bracket for a single pair of position and momentum variables has the symmetry of the Sp(2) group isomorphic to the Lorentz group applicable to two space-like and one time-like directions, as specified in this figure.


      In his 1963 paper, Dirac considered two harmonic oscillators and constructed the following ten operators.
      Dirac then noted that these operators satisfy the algebra for the generators for the O(3,2) deSitter group, with O(3,1) as a subgroup with three rotation and three boost generators applicable to the Monkowski space of (x, y, z, t).

      The O(3,2) group requires an extra time variable. There are thus three additional boost generators with respect to this new time variable. In addition, there is a rotation generator for these two time variables. There are thus four additional generators.

      The issue is then to transform these four extra generators into the four space-time translation generators the Minkowski space.
    Dirac published this result in 1963 in the Journal of Mathematical Physics. This paper is largely unknown to the present generation of physicists, in spite of the fact that it provides the mathematical base for many branches of physics, including squeezed states, entanglements, entropy, high-energy physics, Bogoliubov transformation in superconductivity, O(3,2) supersymmetry, and presumably many future theories..

  • Then, while you did not know, how do I know about this paper? In the fall of 1962, spent many hours with Dirac. How did this happen? Click here for a story. At that time, I did not like what was going on the physics world. Click here to see how much I disliked the physics environment at that time. I had to be born again, like Nicodemus after seeing Jesus (Bible story from the Gospel of John).

    Dirac's 1963 paper is difficult to read, because it consists of a mathematical poem consisting of ten generators and thus sixty commutation relations. It is fun to provide interpretations to this poem using physical examples, and this has been my research line for many years.

  • Then, what does this have to do with Heisenberg? If Dirac got the Lorentz group from the commutation relations for harmonic oscillators, there must be the basic element of Lorentzian symmetry in Heisenberg's Poisson brackets. Indeed, this symmetry is well known, and it is called the group of canonical transformations.

    The Poisson bracket consists of two conjugate variable x and p. This bracket is invariant under rotations in the phase space of those two variables. It is also invariant when x increases while p decreases while the product xp remains constant. This is a squeeze in phase space. These operations are enough to construct the Lorentz group applicable to the two space-like and one time-like directions.

    This symmetry is not rich enough address the symmetries in the Minkowski space of three space-like and one time-like dimensions. Dirac in 1963 was able to construct his richer symmetry using two Poisson brackets. Yes, Einstein could have shown his interest in this symmetry of the Poisson brackets, but he did not.

  • The rotation in the phase space of x and p leads to the rotation around y axis in the three-dimensional space. The squeeze along the x~p directions leads to the Lorentz boost along the z direction. The squeeze along the 45-degree direction corresponds to the Lorentz boost along the x direction as shown in this figure.

  • While the Poisson bracket for a single pair of position-momentum variable leads to the Lorentz group applicable to two space-like and one time-like directions, Paul A. M. Dirac considered two harmonic oscillators. Each oscillator corresponds to one Poisson bracket. He then ended up with the O(3,2) symmetry which corresponds to the Lorentz group applicable to three space-like dimensions and two time-like directions.

  • We are familiar with the procedure of contracting the Lorentz group O(3,1) to the Galilean group, which includes three rotations and three translations.

    Likewise, we can contract O(3,2) into the Lorentz group O(3,1) and four translation in four-dimensional Minkowski space (x, y, z, t). This group is known as the inhomogeneous Lorentz group which serves the basic symmetry group of quantum mechanics in the Lorentz covariant world. You may click here for a comprehensive discussion of this matter. You may go to this page for a more provocative discussion.

  • Princeton loves talking about Einstein. He spent the last 22 years of his life (1933-55) there. I am wise enough to add my photo to one of their Einstein pages.